Moment de flexion – Section 2

Retour à toutes les sections du moment de flexion

Calculer le moment de flexion

Section 2

moment de flexion

Poutre serrée à une extrémité et chargée d’une charge concentrée appliquée à un certain point

Notations

P – charge concentrée ou somme des charges réparties (daN)

p – intensité de charge répartie (daN/cm)

M0 – moment extérieur (daN cm)

T – force de cisaillement appliquée à la poutre dans une certaine section (daN)

M – moment fléchissant appliqué à la poutre dans une certaine section (daN cm)

y – flèche dans la section avec abscisse x (cm)

f – flèche maximale (f = ymax) (cm)

« alpha » – l’angle de la fibre moyenne déformée (radians)

E – module d’élasticité longitudinal du matériau de la poutre (daN / cm2)

L’axe horizontal, qui passe par le centre de gravité de la section transversale, est l’axe principal de la section et le moment d’inertie par rapport à cet axe est noté avec <I> (cm4).

La règle des signes. La réaction, l’effort tranchant T vers le haut et le moment fléchissant M, qui produit une courbure de la poutre avec la concavité vers le haut, sont considérés comme positifs.

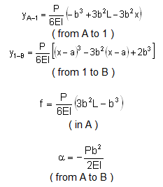
Équation de fibre moyenne déformée ; Flèche; Angles de fibre

formule moment fléchissant

Réactions dans les appuis et efforts tranchants

formule moment fléchissant

Moment de flexion ; Moment de flexion maximal

formule moment fléchissant
moment de flexion
CALCULER LE MOMENT DE FLEXION

Veuillez saisir la valeur de "P"
P =
daN
Veuillez saisir la valeur de "L"
L =
cm
Veuillez saisir la valeur de "a"
a =
cm
Veuillez saisir la valeur de "x"
x =
cm
Veuillez saisir la valeur de "E"
E =
daN/cm2
Veuillez saisir la valeur de "I"
I =
cm4


Suggestion pour le moment de flexion. Envoyez-nous votre suggestion pour améliorer ce chapitre.

Veuillez saisir votre e-mail. UNIQUEMENT si vous le jugez nécessaire ou si vous attendez un retour de notre part.
Veuillez nous indiquer le numéro de la section. Sont 30 sections disponibles.
Merci!

Retour à toutes les sections du moment de flexion

Éclairage classique

Éclairage Fonctionnel

Éclairage Residentiel

Projecteurs

Romvolt
Résumé de la politique de confidentialité

Ce site utilise des cookies afin que nous puissions vous fournir la meilleure expérience utilisateur possible. Les informations sur les cookies sont stockées dans votre navigateur et remplissent des fonctions telles que vous reconnaître lorsque vous revenez sur notre site Web et aider notre équipe à comprendre les sections du site que vous trouvez les plus intéressantes et utiles.