Retour à toutes les sections du moment de flexion
Calculer le moment de flexion
Section 9

Poutre simplement supportée aux extrémités et chargée avec une charge répartie constante
Notations
P – charge concentrée ou somme des charges réparties (daN)
p – intensité de charge répartie (daN/cm)
M0 – moment extérieur (daN cm)
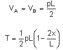
T – force de cisaillement appliquée à la poutre dans une certaine section (daN)
M – moment fléchissant appliqué à la poutre dans une certaine section (daN cm)
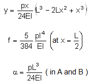
y – flèche dans la section avec abscisse x (cm)
f – flèche maximale (f = ymax) (cm)
« alpha » – l’angle de la fibre moyenne déformée (radians)
E – module d’élasticité longitudinal du matériau de la poutre (daN / cm2)
L’axe horizontal, qui passe par le centre de gravité de la section transversale, est l’axe principal de la section et le moment d’inertie par rapport à cet axe est noté avec <I> (cm4).
La règle des signes. La réaction, l’effort tranchant T vers le haut et le moment fléchissant M, qui produit une courbure de la poutre avec la concavité vers le haut, sont considérés comme positifs.
Équation de fibre moyenne déformée ; Flèche; Angles de fibre

Réactions dans les appuis et efforts tranchants

Moment de flexion ; Moment de flexion maximal


Suggestion pour le moment de flexion. Envoyez-nous votre suggestion pour améliorer ce chapitre.
